网站首页  词典首页


请输入您要查询的字词:

 

字词 氟草定
类别 中英文字词句释义及详细解析
释义 氟草定

又称使它隆、治莠灵。

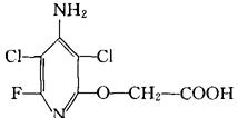
有机杂环类内吸、选择性苗后除草剂。化学名称:4-氨基-3,5-二氯-6-氟-吡啶-2-氧乙酸。化学结构式如下。纯品为白色颗粒状结晶,熔点232~233℃,25℃时蒸气压1255.89×10-7Pa。

微溶于水,可溶于有机溶剂中。敏感植物接触药剂后,出现典型激素类除草剂反应,植株畸形、扭曲。

在耐药植物小麦体内,形成轭合物失去活性。适用于小麦、大麦、玉米和果园,防除猪殃殃、繁缕、巢菜、马齿苋、扁蓄、春蓼、散米荠、空心莲子菜等阔叶杂草。麦田麦苗2~4叶后,杂草基本出齐时施药,对人畜低毒,大鼠急性口服LD50为2405mg/kg,兔急性经皮LD50>5000mg/kg。

对鱼及鸟类低毒。

随便看

 

离鸟网收录3541549条中英文词条,其功能与新华字典、现代汉语词典、牛津高阶英汉词典等各类中英文词典类似,基本涵盖了全部常用中英文字词句的读音、释义及用法,是语言学习和写作的有利工具。

 

Copyright © 2004-2024 vtrois.com All Rights Reserved
更新时间:2026/5/25 15:32:13