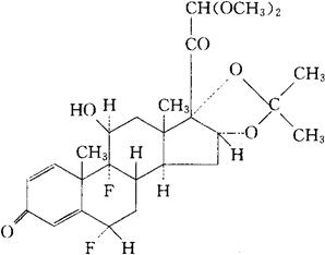
氟莫奈德
C26H34F2O7=496.55 CAS-60135-22-0 (6α,11β,16α)-6,9-二氟-11-羟-21,21-二甲氧-16,17-[(1-甲基亚乙基)双(氧)]-孕甾-1,4-二烯-3,20-二酮。 (6α,11β,16α)-6,9-Difluoro-11-hydroxy-21,21dimethoxy-16,17-[(1-methylethylidene)bis(oxy)]-pregna-1,4-diene-3,20-dione. 6α,9-二氟-11β,16α,17-三羟-3,20-二氧代孕甾-1,4-二烯-21-醛21-(二甲乙缩醛)与丙酮形成环16,17-乙缩醛。 6α,9-Difluoro-11β,16α,17-trihydroxy-3,20-dioxopregna-1,4-dien-21-al 21-(dimethyl acetal)cyclic 16,17-acetal with acetone. 肾上腺皮质激素类药,消炎药。 Flumoxonide,RS-40584. INN,USAN. 
|