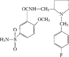
氟贝必利
C20H24FN3O4S=421.49 CAS-56488-61-0 N-[[1-(对-氟苄基)-2-吡咯烷基]甲基]-5-氨磺酰-邻-茴香酰胺。 N-[[1-(p-Fluorobenzyl)-2-pyrrolidinyl]methyl]-5-sulfamoyl-o-anisamide. 5-(氨基磺酰)-N-[[1-[(4-氟苯基)甲基]-2-吡咯烷基]甲基]-2-甲氧苯甲酰胺。 5-(Aminosulfonyl)-N-[[1-[(4-fluorophenyl)methyl]-2-pyrrolidinyl]methyl]-2-methoxy tenzamide. 抗精神失常药,镇吐药。 Flubepride. INN,USAN.  |