氟轻松
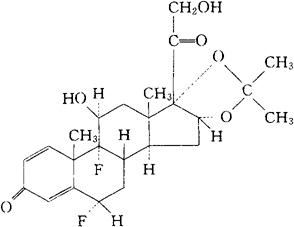
C24H30F2O6=452.50 CAS-67-73-2 CAS-807-38-5(fluocinolone) (6α,11β,11α)-6,9-二氟-11,21-二羟-16,17-[(1-甲基亚乙基)双(氧)]孕甾-1,4-二烯-3,20-二酮。 (6α,11β,11α)-6,9-Difluoro-11,21-dihydroxy-16,17-[(1-methylethylidene)bis(oxy)]-pregna-1,4-diene3,20-dione. 6α,9-二氟-11β,16α,17,21-四羟孕甾-1,4-二烯-3,20-二酮,与丙酮形成环16,17-乙缩醛。 6α,9-Difluoro-11β,16α,17,21-tetrahydroxypregna1,4-diene-3,20-dione,cyclic 16,17-acetal with acetone. 肾上腺皮质激素类药。 氟西奈德。 Fluocinolone Acetonide, NSC-92339, Fluonid,Synalar,Synalar-HP,Synemol. BAN(Fluocinolone),USAN. 
|