网站首页  词典首页


请输入您要查询的字词:

 

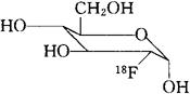
字词 氟[18F]脱氧葡糖
类别 中英文字词句释义及详细解析
释义 氟[18F]脱氧葡糖

C6H1118FO5

CAS-105851-17-0

2-去氧-2-(氟-18F)-α-D-吡喃葡萄糖。

2-Deoxy-2-(fluoro-18F)-α-D-glucopyranose.

诊断用药。

Fludeoxyglucose F 18,18FDG.

INN,USAN,USP.

随便看

 

离鸟网收录3541549条中英文词条,其功能与新华字典、现代汉语词典、牛津高阶英汉词典等各类中英文词典类似,基本涵盖了全部常用中英文字词句的读音、释义及用法,是语言学习和写作的有利工具。

 

Copyright © 2004-2024 vtrois.com All Rights Reserved
更新时间:2026/5/27 23:54:04