网站首页  词典首页


请输入您要查询的字词:

 

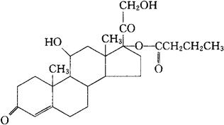
字词 氢化可的松丁酸酯
类别 中英文字词句释义及详细解析
释义 氢化可的松丁酸酯

C25H36O6=432.56

CAS-13609-67-1

11β,21-二羟-17(1-氧代丁氧)-孕甾-4-烯-3,20-二酮氢化。

11β,21-Dihydroxy-17(1-oxobutoxy)-pregn-4-ene-3,20-dione.

可的松17-丁酸酯。

Cortisol 17-butyrate.

肾上腺皮质激素类药。

Hydrocortisone Butyrate,Locoid.

USAN,USP,MI.

随便看

 

离鸟网收录3541549条中英文词条,其功能与新华字典、现代汉语词典、牛津高阶英汉词典等各类中英文词典类似,基本涵盖了全部常用中英文字词句的读音、释义及用法,是语言学习和写作的有利工具。

 

Copyright © 2004-2024 vtrois.com All Rights Reserved
更新时间:2026/5/30 21:29:31