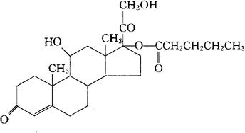
氢化可的松戊酸酯
C26H38O6=446.58 CAS-57524-89-7 11β,21-二羟-17-[(氧代戊基)氧]-孕甾-4-烯-3,20-二酮。 11β,21-Dihydroxy-17-[(oxypentyl)oxy]-pregn-4-ene-3,20-dione. 可的松17-戊酸酯。 Cortisol 17-valerate. 肾上腺皮质激素类药。用于急性发作的气喘、阿狄森氏病的急性发作、播散性红斑狼疮等疾患的短期治疗。 Hydrocortisone Valerate,Hydrocortisone 17-Valerate. USAN,USP,MI.  |