氢化可的松琥珀酸钠[中]
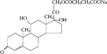
C25H31NaO8=484.52 CAS-125-04-2 21-(3-羧-1-氧代丙氧)-11β,17-二羟-孕甾-4-烯-3,20-二酮单钠盐。 21-(3-Carboxy-1-oxopropoxy)-11β,17-dihydroxypregn-4-ene-3,20-dione.monosodium salt.可的松21-(琥珀酸钠)。 Cortisol 21-(sodium succinate). 肾上皮质激素类药。 氢可琥钠,琥珀酸钠皮质醇。 Hydrocortisone Sodium Succinate, Hydrocortisone 21-Sodium Succinate. 注射用氢化可的松琥珀酸钠。 BP,USAN,USP,MI.  |