网站首页  词典首页


请输入您要查询的字词:

 

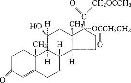
字词 氢可的松醋丙酯
类别 中英文字词句释义及详细解析
释义 氢可的松醋丙酯

C26H36O7=460.57

CAS-74050-20-7

11β,17,21-三羟孕甾-4-烯-3,20-二酮21-乙酸酯17-丙酸酯。

11β,17,21-Trihydroxy pregn-4-ene-3,20-dione 21-acetate 17-propionate.

肾上腺皮质激素类药。

醋丙酸氢可的松。

Hydrocortisone Aceponate.

INN,USAN.

随便看

 

离鸟网收录3541549条中英文词条,其功能与新华字典、现代汉语词典、牛津高阶英汉词典等各类中英文词典类似,基本涵盖了全部常用中英文字词句的读音、释义及用法,是语言学习和写作的有利工具。

 

Copyright © 2004-2024 vtrois.com All Rights Reserved
更新时间:2026/5/27 18:02:55