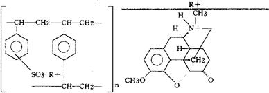
氢可酮聚司替雷
二乙烯-苯,与乙烯苯,的共聚物经过与(5α)-4,5-环氧-3-甲氧基-17-甲基吗啡喃-6-酮的复合物。 Diethenyl-benzene,polymer with ethenylbenzene,sulfonated,complex with(5α)-4,5-epoxy-3-methoxy-17-methylmorphinan-6-one. 磺酸化的苯乙烯-二乙烯苯与4,5α环氧-3-甲氧基-17-甲基吗啡喃-6-酮的共聚复合物。 Sulfonated-styrene-divinylbenzene copolymer complex with 4,5α-epoxy-3-methoxy-17-methylmorphinan-6-one. 镇咳药。 Hydrocodone Polistirex. USAN.  |