氢溴酸利米特罗
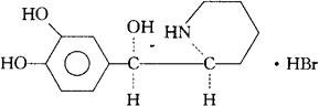
C12H17NO3·HBr=304.18 CAS-31842-61-2 CAS-31931-97-2(nonsteresopecific) CAS-32953-89-2(rimiterol) (R*,S*)-α-(3,4-二羟苯基)-2-哌啶甲醇,溴氢酸盐。 (R*,S*)-α-(3,4-Dihydroxyphenyl)-2-piperidinemethanol,hydrobromide. 4-(羟-2-哌啶基甲基)-1,2-苯二醇溴氢酸盐。 4-(Hydroxy-2-piperidinylmethyl)-1,2-benzenediol hydrobromide. 赤-α-(3-二羟苯基)-2-哌啶甲醇溴氢酸盐。 erythro-α-(3,4-Dihydroxyphenyl)-2-piperidinemethanol hydrobromide. 支气管扩张药。 氢溴酸哌喘定。 Rimiterol Hydrobromide,WG-253,R 798,Asmaten,Pulmadil,SKF 38730. INN& BAN(Rimiterol),USAN. 
|