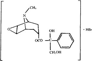
氢溴酸樟柳碱[中]
C17H21NO5·HBr=400.27 3α-羟基-6,7β-环氧托烷2-苯基-2,3-二羟基丙酸酯的氢溴酸盐。 3α-Hydroxy-6,7B-epoxytropane 2-phenyl-2,3-dihydroxypropionate hydrobromide. 抗胆碱药。用于治疗偏头痛、血管性头痛、视网膜血管痉挛、缺血性视神经病变神经系统炎症及脑血管所引起的急性瘫痪、震颤麻痹等,亦可用于有机磷农药中毒。 Anisodine Hydrobromide,Anisodi-tangutic-3. 氢溴酸樟柳碱片,氢溴酸樟柳碱注射液。  |