网站首页  词典首页


请输入您要查询的字词:

 

字词 氢溴酸高乌甲素[中]
类别 中英文字词句释义及详细解析
释义 氢溴酸高乌甲素[中]

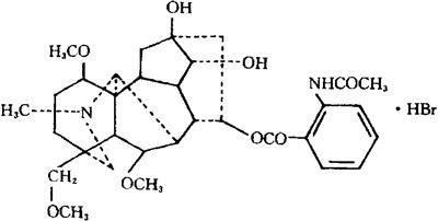
C32H44N2O8·HBr=665.61

CAS-32854-75-4(lappaconitine)

(1α,14α,16β)-20乙基-1,14,16-三甲氧基-乌头烷-4,8,9-三醇-4-[2-(乙酰氨基)苯甲酸酯]氢溴酸盐。

(1α,14α,16β)-20-Ethyl-1,14,16-trimethoxy-aconitane-4,8,9-triol-4-2-(acetylamino)benzoate hydrobromide.

镇痛药。对恶性肿瘤疼痛及其它顽固性疼痛的疗效尤为显著。

氢溴酸拉巴乌头碱。

Lappaconitine Hydrobromide.

氢溴酸高乌甲素片,氢溴酸高乌甲素注射液。

MI.

随便看

 

离鸟网收录3541549条中英文词条,其功能与新华字典、现代汉语词典、牛津高阶英汉词典等各类中英文词典类似,基本涵盖了全部常用中英文字词句的读音、释义及用法,是语言学习和写作的有利工具。

 

Copyright © 2004-2024 vtrois.com All Rights Reserved
更新时间:2026/4/9 6:49:08