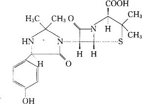
氧他西林
C19H23N3O5S=405.47 CAS-53861-02-2 (2S,5R,6R)-6-[(R)-[4-(对-羟基苯)-2,2-二甲基-5-氧代-1-咪唑烷基]]-3,3-二甲基-7-氧代-4-硫杂-1-氮杂双环[3.2.0]-庚烷-2-羧酸。 (2S,5R,6R)-6-[(R)-[4-(p-Hydroxyphenyl)-2,2-dimethyl-5-oxo-l-imidazolidinyl]]-3,3-dimethyl-7-oxo-4-thia-l-azabicyclo[3.2.0]-heptane-2-carboxylic acid. 抗生素类药。 酚塔西林。 Oxetacillin,LH 380. INN,USAN.  |