氧分布模型
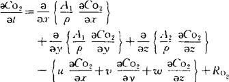
描述各种物理和生物过程对氧垂直分布影响的数学模型。 怀尔特基(1962)的模型为:  式中,Az为垂直扩散系数,假定与深度z无关;w为垂直移流速度;Ro为该模型上界面层的耗氧速率;a为R随深度按指数下降的速率。该模型指出,氧的稳态分布是由垂直移流、垂直涡动扩散和现场耗氧速率R所维持的,R随深度呈指数下降。 这一简单模型与氧垂直分布的吻合程度相当好。赖利(1951)用垂直和水平速度、水平和垂直涡动扩散系数,以及非保守变量(例如氧)的产生或消耗来表示一个变量的分布。他提出了氧分布的一般方程:  式中,t为时间;A1、A2分别为水平和垂直涡动扩散系数、ρ为密度;u、v和w分别为x、y、z方向上的速度分量;Ro2是氧的产生速率(负值则表示氧消耗的速率)。该模型成功地确定了氧消耗的速率。 |