| 释义 |
氧化性漂白剂的有效氯含量计算
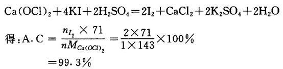
【说明】 氧化性漂白剂中常用的是氯或氯的化合物,这些物质中都包含有“有效氯”,漂白剂中的有效氯是指能和浆中木素或有色物质起反应的氧化容量(即以氧表示漂白剂的氧化能力),此容量在实验室一般用碘量法测定。通常,如果1mol的氯,能游离出1mol的碘,即表明存在100%的有效氯。常用的几种漂白剂有效氯的含量见表1-9-8。 表1-9-8 常用漂白剂有效氯与有效氧含量  注:有效氧的计算同有效氯。 【公式】  式中 A.C——氧化性漂白剂的有效氯含量(%) nI2——测定反应生成的碘的摩尔数 71——氯气的摩尔质量 n——漂白剂参加反应的摩尔数 Mx——漂白剂的摩尔质量 【例1】求Ca(OC1)2的有效氯含量。 解:根据反应:  【例2】 求ClO2的有效氯含量 解:根据测定反应:   |