网站首页  词典首页


请输入您要查询的字词:

 

字词 氧化铝的测定计算
类别 中英文字词句释义及详细解析
释义 氧化铝的测定计算

[测定方法]用移液管吸取测定水不溶物(见下)时所保留的溶液50mL于250mL锥形瓶中,加入3滴3%过氧化氢溶液,用蒸馏水稀释至100mL。加热至沸腾后,加入10mL10%氯化钡溶液,继续煮沸片刻,以酚酞为指示剂,立即将该热的混合液用0.5mol/L氢氧化钠标准溶液滴定至呈微红色时已接近终点,再逐滴加3~4滴至呈红色为止。

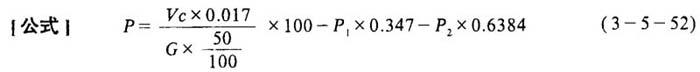
式中 P——三氧化二铝(%)

c、V——氢氧化钠标准溶液的浓度(mol/L)及滴定所耗体积(mL)

G——试样重(g)

0.017——与1mL1mol氢氧化钠标准溶液相当的氧化铝量(g)

0.347、0.6386——分别为将硫酸换算为氧化铝、将三氧化二铁换算为氧化铝的系数

P1、P2含义同上

随便看

 

离鸟网收录3541549条中英文词条,其功能与新华字典、现代汉语词典、牛津高阶英汉词典等各类中英文词典类似,基本涵盖了全部常用中英文字词句的读音、释义及用法,是语言学习和写作的有利工具。

 

Copyright © 2004-2024 vtrois.com All Rights Reserved
更新时间:2026/4/7 4:16:55