网站首页  词典首页


请输入您要查询的字词:

 

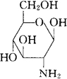
字词 氨基葡萄糖
类别 中英文字词句释义及详细解析
释义 氨基葡萄糖

C6H13NO5=179.17

CAS-3416-24-8

2-氨基-2-去氧-D-葡萄糖。

2-Amino-2-deoxy-D-glucose.

2-氨基-2-去氧-β-D-吡喃葡萄糖。

2-Amino-2-deoxy-β-D-glucopyranose.

药用辅料。

葡萄糖胺。

Glucosamine.

INN,USAN.

随便看

 

离鸟网收录3541549条中英文词条,其功能与新华字典、现代汉语词典、牛津高阶英汉词典等各类中英文词典类似,基本涵盖了全部常用中英文字词句的读音、释义及用法,是语言学习和写作的有利工具。

 

Copyright © 2004-2024 vtrois.com All Rights Reserved
更新时间:2026/4/8 9:55:39