网站首页  词典首页


请输入您要查询的字词:

 

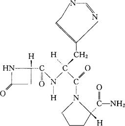
字词 氮替瑞林
类别 中英文字词句释义及详细解析
释义 氮替瑞林

C15H20N6O4=348.36

CAS-95729-65-0

(-)-N-[[(2S)-4-氧-2-氮杂环丁基]羰基]-L-组氨酰-L-脯氨酰胺。

(-)-N-[[(2S)-4-oxo-2-azetidinyl]carbonyl]-L-histidyl-L-prolinamide.

促甲状腺激素释放激素。

阿泽内酰胺,氮杂瑞林。

Azetirelin.

INN,USAN.

随便看

 

离鸟网收录3541549条中英文词条,其功能与新华字典、现代汉语词典、牛津高阶英汉词典等各类中英文词典类似,基本涵盖了全部常用中英文字词句的读音、释义及用法,是语言学习和写作的有利工具。

 

Copyright © 2004-2024 vtrois.com All Rights Reserved
更新时间:2026/4/8 22:21:36