网站首页  词典首页


请输入您要查询的字词:

 

字词 氮杂红霉素
类别 中英文字词句释义及详细解析
释义 氮杂红霉素

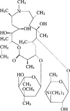
C38H72N2O12=749.00

CAS-83905-01-5

(2R,3S,4R,5R,8R,10R,11R,12S,13S,14R)-13-[2,6-二脱氧-3-C-甲基-3-O-甲基-α-L-己吡喃核糖基)氧]-2-乙基-3,4,10-三羟基-3,5,-6,8,10,12,14-七甲基-11-[[3,4,6-三脱氧-3,-(二甲氨基)-β-D-己吡喃木糖基]氧]-1-氧杂-6-氮杂环十五烷-15-酮。

(2R,3S,4R,5R,8R,10R,11R,12S,13S,14R)-13-[(2,6-Dideoxy-3-C-methyl-3-O-methyl-α-L-ribohexopyranosyl)oxy]-2-ethyl-3,4,-10-trihydroxy-3,5,6,8,10,12,14-heptamethyl-11-[[3,4,6-tri-deoxy-3-(dimethylamino-β-D-xylo-hexopyranosyl]oxy]-1-oxa-6-azacyclopentadecan-15-one.

9-脱氧-9a-氮杂-9a-甲基-9a-高红霉素A。

9-Deoxo-9a-aza-9a-methyl-9a-homoerythromycinA.

抗生素类药。大环内酯类广谱抗菌(含厌氧菌)。

阿齐红霉素,阿红霉素。

Azithromycin,CP-62,993,XZ-450,Sunamed.

INN,BAN,USAN.

随便看

 

离鸟网收录3541549条中英文词条,其功能与新华字典、现代汉语词典、牛津高阶英汉词典等各类中英文词典类似,基本涵盖了全部常用中英文字词句的读音、释义及用法,是语言学习和写作的有利工具。

 

Copyright © 2004-2024 vtrois.com All Rights Reserved
更新时间:2026/4/9 8:43:09