网站首页  词典首页


请输入您要查询的字词:

 

字词 氯司帕唑
类别 中英文字词句释义及详细解析
释义 氯司帕唑

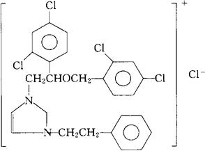
C26H23Cl5N2O=556.75

CAS-54143-54-3

1-[2-(2,4-二氯苯基)-2-[(2,4-二氯苯基)甲氧]乙基]-3-(2-苯乙基)-1H-咪唑鎓盐,氯化物。

1-[2-(2,4-Dichlorophenyl)-2-[(2,4-dichlorophenyl)methoxy]ethyl]-3-(2-phenylethyl)-1H-imidazolium,chloride.

1-[2,4-二氯-β-[(2,4-二氯苄基)氧]苯乙基]-3-苯乙基咪唑鎓氯化物。

1-[2,4-Dichloro-β-[(2,4-dichlorobenzyl)oxy]phenethyl]-3-phenethylimidazolium chloride.

抗感染药(局部)。

司帕氯铵。

Sepazonium Chloride,R 27,500.

INN,BAN,USAN.

随便看

 

离鸟网收录3541549条中英文词条,其功能与新华字典、现代汉语词典、牛津高阶英汉词典等各类中英文词典类似,基本涵盖了全部常用中英文字词句的读音、释义及用法,是语言学习和写作的有利工具。

 

Copyright © 2004-2024 vtrois.com All Rights Reserved
更新时间:2026/4/9 10:16:44