网站首页  词典首页


请输入您要查询的字词:

 

字词 氯吡膦
类别 中英文字词句释义及详细解析
释义 氯吡膦

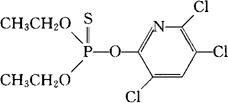
C9H11Cl3NO3PS=350.57

CAS-2921-88-2

O,O-二乙基O-3,5,6-三氯-2-吡啶基硫代磷酸酯。

O,O-DiethylO-3,5,6-triehloro-2-pyridyl phosphorothioate.

杀虫药。用于蚊、蝇蟑、螂及白蚊等。

乐斯本,氯蜱硫磷。

Chlorpyrifos,Dowco-179,ENT-27311,Brodan,Eradex,Pyrinex,Dursban,Lorsban.

BAN,USAN,MI.

随便看

 

离鸟网收录3541549条中英文词条,其功能与新华字典、现代汉语词典、牛津高阶英汉词典等各类中英文词典类似,基本涵盖了全部常用中英文字词句的读音、释义及用法,是语言学习和写作的有利工具。

 

Copyright © 2004-2024 vtrois.com All Rights Reserved
更新时间:2026/4/8 23:35:55