网站首页  词典首页


请输入您要查询的字词:

 

字词 氯咪达唑
类别 中英文字词句释义及详细解析
释义 氯咪达唑

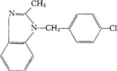
C15H13ClN2=256.73

CAS-3689-76-7

1-对-氯苄基-2-甲基苯并咪唑。

1-p-Chlorobenzyl-2-methylbenzimidazole.

抗真菌药。

Chlormidazole,Futrican,Clomidazole.

INN,BAN,DCIT,NFN,USAN,MI.

随便看

 

离鸟网收录3541549条中英文词条,其功能与新华字典、现代汉语词典、牛津高阶英汉词典等各类中英文词典类似,基本涵盖了全部常用中英文字词句的读音、释义及用法,是语言学习和写作的有利工具。

 

Copyright © 2004-2024 vtrois.com All Rights Reserved
更新时间:2026/4/8 14:12:26