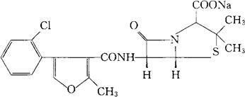
氯唑西林钠[典]
C19H17ClN3NaO5S=457.86 CAS-642-78-4 (2S,5R,6R)-6-[3-(邻-氯苯基)-5-甲基-4-异噁唑甲酰胺基]-3,3-二甲基-7-氧代-硫杂-4-1-氮杂双环[3.2.0]-庚烷-2-羧酸单钠盐。 Monosodium(2S,5R,6R)-6-[3-(o-Chlorophenyl)-5-methyl-4-isoxazolcarboxamido]-3,3-dimethyl-7-oxo-4-thia-1-azabicyclo[3.2.0]heptane-2-carboxylate. 抗生素类药。为耐酸、耐霉半合成青霉素。 用于对青霉素耐药的葡萄球菌感染。 邻氯青霉素钠邻氯苯甲异噁唑青霉素钠,氯噻青霉素钠(台),氯苯唑青霉素钠。 Cloxacillin Sodium,Cloxapen. 注射用邻氯青霉素钠(注射用氯唑西林钠),氯噻青霉素钠胶囊(台)。 USAN,USP,MI. 
|