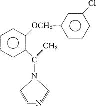
氯康唑
C18H15ClN2O=310.78 CAS-77175-51-0 1-[1-[o-[(间-氯苄基)氧]苯基]烯乙基]咪唑。 1-[1-[o-[(rn-Chlorobenzyl)oxy]phenyl]vinyl]imi dazole. 1-[1-[2-[(3-氯苯基)甲氧]苯基]乙烯基]-1H-咪唑。 1-[1-[2-[(3-Chlorophenyl)Methoxy]phenyl]ethenyl]-1H-imidazole. 抗真菌药。 克罗可唑。 Croconazole,Cloconazole. INN,USAN.  |