网站首页  词典首页


请输入您要查询的字词:

 

字词 氯拉必利
类别 中英文字词句释义及详细解析
释义 氯拉必利

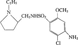
C14H22ClN3O3S=347.86

CAS-68677-06-5

5-氯-N′-[(1-乙基-2-吡咯烷基)甲基]-2-甲氧基对氨基苯磺酰胺。

5-Chloro-N′-[(1-ethyl-2-pyrrolidinyl)methyl]-2-methoxysulfanilamide.

镇吐药。

劳拉必利。

Lorapride.

INN,USAN.

随便看

 

离鸟网收录3541549条中英文词条,其功能与新华字典、现代汉语词典、牛津高阶英汉词典等各类中英文词典类似,基本涵盖了全部常用中英文字词句的读音、释义及用法,是语言学习和写作的有利工具。

 

Copyright © 2004-2024 vtrois.com All Rights Reserved
更新时间:2026/4/8 1:45:33