网站首页  词典首页


请输入您要查询的字词:

 

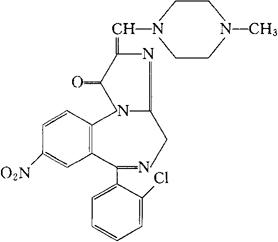
字词 氯普唑仑
类别 中英文字词句释义及详细解析
释义 氯普唑仑

C23H21ClN6O3=464.91

CAS-61197-73-7

6-(邻-氯苯基)-2,4-二氢-2-[(4-甲基-1-哌嗪基)亚甲

基]-8-硝基-1H-咪唑并[1,2-a][1,4]苯并二氮杂-1-酮。

6-(o-Chlorophenyl)-2,4-dihydro-2-[(4-methyl-1-piperazinyl)methylene]-8-nitro-1H-imidazo[1,2-a][1,4]benzodiazepin-1-one.

催眠镇静药。

氯硝唑仑。

Loprazolam,Dormonoct,HR158,Ru31158,Hyprotic.

INN,BAN,DCF,USAN,MI.

随便看

 

离鸟网收录3541549条中英文词条,其功能与新华字典、现代汉语词典、牛津高阶英汉词典等各类中英文词典类似,基本涵盖了全部常用中英文字词句的读音、释义及用法,是语言学习和写作的有利工具。

 

Copyright © 2004-2024 vtrois.com All Rights Reserved
更新时间:2026/4/9 7:48:57