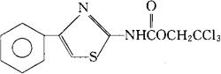
氯替法唑
C12H9Cl3N2O2S=351.63 CAS-71119-10-3 2,2,2-三氯乙基4-苯基-2-噻唑氨基甲酸酯。 2,2,2-Trichloroethyl 4-phenyl-2-thiazolecarbamate. (4-苯基-2-噻唑基)氨基甲酸2,2,2-三氯乙酯。 (4-Phenyl-2-thiazolyl)carbamic acid 2,2,2-trichloroethylester. 免疫调节药(免疫兴奋药)。 Lotifazole,F 1686. INN,USAN.  |