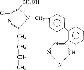
氯沙坦钾
C22H22ClKN6O=461.01 CAS-124750-99-8 2-丁基-4-氯-1-[[2′-(1H-四唑-5-基)[1,1′-联苯]-4-基]甲基]-1H-咪唑-5-甲醇,单钾盐。 2-Butyl-4-chloro-1-[[2′-(1H-tetrazol-5-yl)[1,1′-biphenyl]-4-yl]methyl]-1H-imidazole-5-methanol,mon opotassium salt. 2-丁基-4-氯-1-[对-(邻-1H-四唑-5-基-苯基)苄基]咪唑5-甲醇,单钾盐。 2-Butyl-4-chloro-1-[p-(o-1H-tetrazol-5-yl-phenyl)benzyl]imidazole-5-methanol,monopotassium salt. 抗高血压药。 Losartan Potassium,DuP 753. USAN. 
|