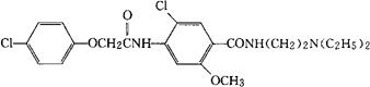
氯沙必利
C22H27Cl2N3O4=468.38 CAS-65569-29-1 5-氯-4-[2-(对-氯苯氧)乙酰氨基]-N-[2-(二乙氨基)乙基]-邻-茴香酰胺。 5-Chloro-4-[2-(p-chlorophenoxy)acetamido]-N-[2-(diethylamino)ethyl]-o-aminamide. 5-氯-4-[[(4-氯苯氧)乙酰]氨基]-N-[2-(二乙基氨)乙基]-2-甲氧苯甲酰胺。 5-Chloro-4-[[(4-chlorophenoxy)acetyl]amino]-N[2-(diethylamino)ethyl]-2-methoxybenzamide. β-受体阻滞药。 抗过敏药。治疗炎症变态反应和哮喘等。 氯赛瑞德,氯西必利。 Cloxacepride.  |