网站首页  词典首页


请输入您要查询的字词:

 

字词 氯灭酸[中]
类别 中英文字词句释义及详细解析
释义 氯灭酸[中]

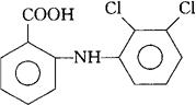
C13H9Cl2NO2=282.23

CAS-4295-55-0

N-(3-二氯苯基)邻氨基苯甲酸。

N-(2,3-Dichlorophenyl)-anthrianilic acid.

非甾体抗炎药。具有类似激素的作用。

用于治疗类风湿性及风湿性关节炎,消肿、解热、镇痛。

Clofenamic Acid,Chlorofenamic Acid.

INN,DCIT,NFN,USAN.

随便看

 

离鸟网收录3541549条中英文词条,其功能与新华字典、现代汉语词典、牛津高阶英汉词典等各类中英文词典类似,基本涵盖了全部常用中英文字词句的读音、释义及用法,是语言学习和写作的有利工具。

 

Copyright © 2004-2024 vtrois.com All Rights Reserved
更新时间:2026/4/9 12:56:07