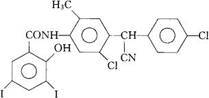
氯生太尔
C22H14Cl2I2N2O2=663.08 CAS-57808-65-8 N-[5-氯-4-[(4-氯苯基)氰甲基]-2-甲基苯基]-2-羟-3,5-二碘苯甲酰胺。 N-[5-Chloro-4-[(4-chlorophenyl)-cyamomethyl]-2 methylphenyl]-2-hydroxy-3,5-diiodebengzamide. 5′-氯-α4-(对-氯苯基)-α4-氰基-3,5-二碘-2′,4′-水杨酰二甲苯胺。 5′-Chloro-α4-(p-chlorophenyl)-α4-cyano-3,5-diiodo2′,4′-salicyloxylidide. 抗蠕虫药。 克罗散泰。 Clorantel,R31.520,Seponver. UBAN.  |