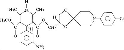
氯硝地平
C30H32ClN3O8=598.05 CAS-113759-50-5 [8-(对-氯苯基)-1,4-二噁-8-氮杂螺[4,5]癸-2-基]甲基甲基1,4-二氢-2,6-二甲基-4-(间-硝苯基)-3,5-吡啶二羧酸酯。 [8-(p-Chlorophenyl)-1,4-dioxa-8-azaspiro[4,5]dec2-yl]methylmethyl 1,4-dihydro-2,6-dimethyl-4-(mnitrophenyl)-3,5-pyridinedicarboxylate. 血管扩张药。 Cronidipine. INN,USAN.  |