网站首页  词典首页


请输入您要查询的字词:

 

字词 氯苯维林
类别 中英文字词句释义及详细解析
释义 氯苯维林

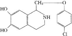
C16H16ClNO3=305.76

CAS-54340-63-5

1-[(对-氯苯氧)甲基]-1,2,3,4-四氢-6,7-异喹啉二醇。

1-[(p-Chlorophenoxy)methyl]-1,2,3,4-Tetrahydro-6,7-isoquinolineliol.

解痉药,缓解平滑肌痉挛。

克洛法维林。

Clofevernine.

INN,USAN.

随便看

 

离鸟网收录3541549条中英文词条,其功能与新华字典、现代汉语词典、牛津高阶英汉词典等各类中英文词典类似,基本涵盖了全部常用中英文字词句的读音、释义及用法,是语言学习和写作的有利工具。

 

Copyright © 2004-2024 vtrois.com All Rights Reserved
更新时间:2026/4/8 13:39:08