氯西瓜尼
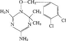
C12H15C12N5O=316.19 CAS-3378-93-6 4,6-二氨-1-[(3,4-二氯苄基)氧]-1,2-二氢-2,2-二甲基-均-三嗪。 4,6-Diamino-1-[(3,4-dichlorobenzyl)oxy]-1,2-dihydro-2,2-dimethyl-s-triazine. 1-[(3,4-二氯苯基)甲氧]1,6-二氢-6,6-二甲基-1,3,5-三嗪-2,4-二胺。 1-[(3,4-Dichlorophenyl)methoxy]-1,6-dihydro-6,-6-dimethyl-1,3,5-triazine-2,4-diamine. 叶酸拮抗药。 用于治疗经细胞前期症疾。 氯卡氧三嗪。 Clociguanil,WR-36839,BRL-50216. INN,BAN,USAN.  |