网站首页  词典首页


请输入您要查询的字词:

 

字词 氰嘧洛
类别 中英文字词句释义及详细解析
释义 氰嘧洛

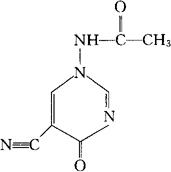
C7H6N4O2=178.15

CAS-53131-74-1

N-(5-氰基-4-氧代-1(4H)-嘧啶基)乙酰胺。

N-(5-Cyano-4-oxo-1(4H)-pyrimidinyl)acetamide.

黄嘌呤氧化酶抑制药。用于治疗痛风。

西亚匹隆。

Ciapilome.

INN,USAN.

随便看

 

离鸟网收录3541549条中英文词条,其功能与新华字典、现代汉语词典、牛津高阶英汉词典等各类中英文词典类似,基本涵盖了全部常用中英文字词句的读音、释义及用法,是语言学习和写作的有利工具。

 

Copyright © 2004-2024 vtrois.com All Rights Reserved
更新时间:2026/4/8 15:07:33