网站首页  词典首页


请输入您要查询的字词:

 

字词 水力碎浆机的功率计算
类别 中英文字词句释义及详细解析
释义 水力碎浆机的功率计算

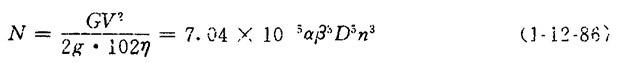
【说明】 水力碎浆机所需电机的功率可采用搅拌悬浮物、克服其惯性力的原理,用近似计算法计算。

【公式】

式中 N——电机所需功率(kW)

G——搅拌混合的浆料量(kg/s)

G=αγFV (1-12-87)

α——比例常数,随刀片和叶片的形状不同而异

γ——浆料的容重(kg/m3)

F——转盘的面积(m2)

D——转盘的直径(m)

V——浆料循环速度(m/s)

β——比例常数,随不同的转盘圆周速度范围而变化

【注意】 上面的公式是适用于单转盘水力碎浆机的一个近似的理论计算公式,式中系数α和β无现成数据,需在一定浓度下经过试验进行测定。测定的数值只适用于这个既定的浓度。至于高、低速双转盘水力碎浆机,因有两个转盘工作,其耗用功率影响因素复杂,有待于进一步探讨。

随便看

 

离鸟网收录3541549条中英文词条,其功能与新华字典、现代汉语词典、牛津高阶英汉词典等各类中英文词典类似,基本涵盖了全部常用中英文字词句的读音、释义及用法,是语言学习和写作的有利工具。

 

Copyright © 2004-2024 vtrois.com All Rights Reserved
更新时间:2026/4/9 3:55:09