网站首页  词典首页


请输入您要查询的字词:

 

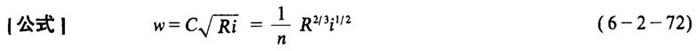
字词 水在明沟中的速度计算
类别 中英文字词句释义及详细解析
释义 水在明沟中的速度计算

式中 W——速度(m/s)

i——沟道的倾射度

R——沟道的水力半径(水流的截面积F与被湿润的周界P之比值)

C——阻力系数

n——沟道壁面的粗糙度系数,玄武岩镶板取0.01;铸铁镶板取0.013

随便看

 

离鸟网收录3541549条中英文词条,其功能与新华字典、现代汉语词典、牛津高阶英汉词典等各类中英文词典类似,基本涵盖了全部常用中英文字词句的读音、释义及用法,是语言学习和写作的有利工具。

 

Copyright © 2004-2024 vtrois.com All Rights Reserved
更新时间:2026/4/7 19:31:57