水泥生产配料计算
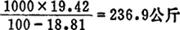
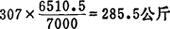
采用拼凑法,此法是根据原料的成分,算出生料的成分,再考虑煤灰的掺入,计算出熟料的成分和率值。如不符合所要求的率值范围,则需调整原料的配比,重新计算,这样直至达到要求为止。现以滤泥、炉渣、铁矿石三种原料配料为例,计算如下。 1.原燃料的化学分析 表7-80 原燃料的化学成分  2.换算为100%的成分 表7-81 换算为100%的成分  3.煅烧后生料中的成分 表7-82 煅烧后生料中的成分  4.无烟煤耗用量 已知:煤低位发热量 =6510.5千卡/公斤 熟料单位耗热量g=2000千卡/公斤熟料 煤灰分 AP=24.9% (1)每吨熟料耗煤量为:  (2)煤灰分掺入量为:  5.经拼凑法计算调整后的熟料化学成分 表7-83 调整后的熟料化学成分  6.石灰饱和系数和各率值计算 (1)石灰饱和系数:  (2)铝率氧:  (3)硅率:  7.烧成一吨熟料块(不考虑掺入的煤灰成分),各种干燥原料的消耗量计算 (1)煅烧后滤泥的数量:  (2)煅烧后炉灰的数量:  (3)煅烧后铁矿石的数量:  各种干燥原料的使用量以 遍乘各项,不考虑煤灰加入量的干燥。 原料需用量如下。 每吨熟料,即100公斤熟料需用干燥后的原料数量。 (1)滤泥的数量为:  (2)炉灰的数量为:  (3)铁矿石的数量为:  生料的理论消耗量为1682.0公斤,即每吨熟料理论消耗生料量为1682公斤,即料耗比为1∶1.682。 8.各种干燥原料的消耗百分比   9.调整后生料中各项原料的配合比及生料的化学成分 表7-84 各项原料的配合比及生料的化学成分  10.熟料的单位原燃料消耗定额,考虑煤灰加入后,每吨熟料消耗干燥的生料粉  (1)干燥滤泥的消耗量为:  (2)干燥炉灰的消耗量为:  (3)干燥铁矿石的消耗量为:  11.无烟煤的消耗百分比为 (1)煤耗为生料的百分比为:  (2)折合成标准煤耗为  |