水飞蓟素葡甲胺
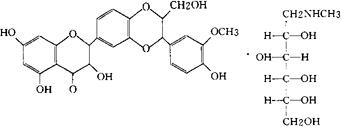
C32H39NO15=677.66 为水飞蓟素(C25H22O10)与葡甲胺(C7H17NO5)结合而成。 2-[2,3-二氢-3(4-羟-3-甲氧苯基)-2-(羟甲基)-1,4-苯并二喔星-6-基]-2,3-二氢-3,5,7-三羟-4H-1-苯并吡喃-4-酮,[2R-[2α,3β,6(2R,3R)]];-1-去氧-1-(甲氨基)-D-山梨醇(1∶1)的化合物。 2-[2,3-Dihydro-3(4-hydroxy-3-methoxyphenyl)-2-(hydroxymethyl)-1,4-benzodioxin-6-yl]-2,3-dihydro-3,5,7-trihydroxy-4H-1-benzopyran-4-one,[2R[2α,3β,6(2R,3R)]];compound with 1-deoxy-1-(methylamino)-D-glucitol(1∶1). 保肝药。用于急慢性肝炎、初期肝硬化、肝中毒等。西利宾胺。 Meglumine Silymarin. 水飞蓟素葡甲胺片。  |