网站首页  词典首页


请输入您要查询的字词:

 

字词 水黄杨木
类别 中英文字词句释义及详细解析
释义 水黄杨木

【名称出处】:《贵州草药》

【概况】:

异名 乌棒子(《贵州药用植物目录》)。

基源 为远志科远志属植物尾叶远志的根。

原植物 尾叶远志 Polygala caudata Rehd.et Wils.

形态 灌木,高1~3m。根粗壮,淡黄色;幼枝淡绿色,无毛,小枝灰白色。

单叶互生,叶柄长0.6~1.2cm,薄革质,椭圆形,椭圆状披针形至倒披针形,长3.5~10cm,宽1.2~2.5cm,顶端渐尖或长渐尖,基部楔形,全缘,侧脉6~10对。总状花序,著生于小枝近顶端叶腋内,通常2~5个簇生,长3~5cm;花黄色或先端外侧带淡红色,长约5mm;花萼5,2轮,外轮3,极小,内轮2,较大,花瓣状;花瓣3,中间龙骨瓣的背面顶端有2个囊状附属物,两侧的花瓣中上部与花丝鞘贴生;雄蕊8,花丝中下部合生成鞘。蒴果倒卵状椭圆形,长约7mm,基部具宿存花萼,果柄长约3mm;种子2,有棕色长柔毛。

花期3~5月,果期5~7月。(图见《中药大辞典》,上册,548页,1143条图)

生境与分布 多生于海拔400~1950m的山坡阔叶林下或灌丛中。分布于中国西南及湖北、广东、广西。

。【化学】:

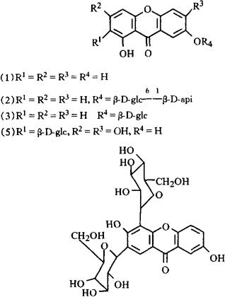
含黄酮甙、皂甙、酚性物质(鞣质及其它酚化物)、香豆酮、树脂等[1]。最近分出五个酮类成分和一个甾醇甙,它们分别为优酮(Euxanthone)(1)、乌棒子甙甲(2)、乙(3)、丙(4)(WubangzisideA,B,C)、芒果甙(Mangifenn)(5)和豆甾醇葡萄糖甙(Stigmasteryl-β-D-glucoside)[2,3]

参考文献 [1]中药大辞典,上册,上海人民出版社,1977:548 [2] 药学学报1984;19(12):899 [3]药学学报 1985;20(9):662

【药性】:

性味 苦,平。

❶ 《贵州草药》:“甘,平。”
❷ 《全国中草药汇编》:“苦,平。”

功效 清热利湿,止咳平喘。

主治 黄疸,咳喘。 ❶ 《贵州草药》:“清热利湿,通淋。治黄疸肝炎,血尿。”
❷ 《贵州药用植物目录》:“治哮喘。”
❸ 《全国中草药汇编》:“咳嗽,支气管炎,黄疸型肝炎。”

用法用量 内服:煎汤,15~30g。

随便看

 

离鸟网收录3541549条中英文词条,其功能与新华字典、现代汉语词典、牛津高阶英汉词典等各类中英文词典类似,基本涵盖了全部常用中英文字词句的读音、释义及用法,是语言学习和写作的有利工具。

 

Copyright © 2004-2024 vtrois.com All Rights Reserved
更新时间:2026/4/7 2:32:09