网站首页  词典首页


请输入您要查询的字词:

 

字词 求函数定义域的主要依据
类别 中英文字词句释义及详细解析
释义 求函数定义域的主要依据

1.分式的分母不得为零;

2.偶次方根的被开方数不小于零,零取零次方没有意义;

如果函数是由一些基本函数通过四则运算而得到的,那么它们的定义域是各基本函数定义的交集.

例 求下列函数的定义域

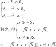
解 (1)要使此函数有意义,须

故所求函数的定义域为

随便看

 

离鸟网收录3541549条中英文词条,其功能与新华字典、现代汉语词典、牛津高阶英汉词典等各类中英文词典类似,基本涵盖了全部常用中英文字词句的读音、释义及用法,是语言学习和写作的有利工具。

 

Copyright © 2004-2024 vtrois.com All Rights Reserved
更新时间:2026/4/6 21:26:47