网站首页  词典首页


请输入您要查询的字词:

 

字词 求函数的最大值与最小值
类别 中英文字词句释义及详细解析
释义 求函数的最大值与最小值

设函数f(x)在[a,b]上连续,在(a,b)内可导,求f(x)在[a,b]的最大值与最小值的步骤如下:

1.求f(x)在(a,b)内的极值;

2.将f(x)的各极值与f(a),f(b)比较,其中最大的一个为最大值,最小的一个为最小值.

在开区间(a,b)上连续的函数f(x)不一定有最大值与最小值.

例1 求函数y=sin3x+cos3x,x∈[0,2π)的最大值与最小值.

令y′=0,在[0,2π)内解得x=0,,π,5/4π,3/2π,当x变化时,y′,y的变化情况如下表:

(取,检验y′在[]上取“+”号,然后按“+”、“—”相隔定y′的符号)

例2 设f(x)是四次函数,当x=±1时,取极小值0,且其极大值为2,求f(x)的解析式,并求f(x)的最小值,画出函数的图象.

解 可先设出函数的解析式,∵此函数在R上连续可导,∴f(±1)=0,又f(x)在x=±1时取极小值为0,∴f(±1)=0,同时找出极大值点x0,则f(x0)=2,根据以上条件可求出解析式.

设f(x)=ax4+bx3+cx2+dx+e,(a≠0),

则f′(x)=4ax3+3bx2+2cx+d.

依题:f′(—1)=—4a+3b—2c+d=0 (1)

f′(1)=4a+3b+2c+d=0 (2)

f(1)=a+b+c+d+e=0 (3)

f(—1)=a—b+c—d+e=0 (4)

由(5)、(8)得b=d=0,由(6)、(7)得c=—2a,e=a.

∴f(x)=ax4—2ax2+a=a(x2—1)2,∴f′(x)=4ax3—4ax

=4ax(x+1)(x—1).

由题设条件,当x=±1时,f(x)=0,符合题意,显然x=0时f(x)极大=2,∴f(0)=0,得a=2.

∴f(x)=2(x2—1)2

又当x→±∞时,f(x)→∞,故f(x)没有最大值,f(0)=2是其极大值.

当x=±1时f(x)=0是极小值也是最小值注意到f(x)=2(x2—1)2是偶函数,故函数图象如上图.

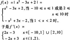
例3 求函数f(x)=|x2—3x+2|,x∈[—10,10]的最大值与最小值.

解 由于函数的表达式中含有绝对值,因此,首先应该利用分段函数表示f(x),然后求出各段函数上的导数为0点处的函数值及边界值,最后进行比较可得所求的最值.

ⅰ当x∈[—10,1]时f′(x)<0,

∴f(x)在[—10,1]上单调递减;

ⅱ当x∈[2,10]时f′(x)>0,

∴f(x)在[2,10]上单调递增;

ⅲ当x∈(1,2)时,令f′(x)=0,

得x=3/2.

计算:f(—10)=132,f(1)=0,f(2)=0,f(10)=72,f(3/2)=1/4,

通过比较可知函数f(x)的最小值为0,最大值为132.

随便看

 

离鸟网收录3541549条中英文词条,其功能与新华字典、现代汉语词典、牛津高阶英汉词典等各类中英文词典类似,基本涵盖了全部常用中英文字词句的读音、释义及用法,是语言学习和写作的有利工具。

 

Copyright © 2004-2024 vtrois.com All Rights Reserved
更新时间:2026/4/7 14:07:41