网站首页  词典首页


请输入您要查询的字词:

 

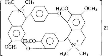
字词 汉肌松[中]
类别 中英文字词句释义及详细解析
释义 汉肌松[中]

C40H48I2N2O6=906.64

CAS-7601-55-0

碘化二甲基汉防己碱。

Dimethylchondrocurarine iodide.

6,6′,7′,12′-四甲氧基-2,2,2′,2′-四甲基管箭毒碱二碘化物。

Tubocuraranium,6,6′,7′,12′-tetramethoxy-2,2,2′,2′-tetramethyl,diiodide.

肌肉松弛剂。

Metocurine Iodide,Metubine Iodidie,Tetrandrine Dimethiodide,Dimethyl Tubocurarine Iodide.

USAN,USP,MI.

随便看

 

离鸟网收录3541549条中英文词条,其功能与新华字典、现代汉语词典、牛津高阶英汉词典等各类中英文词典类似,基本涵盖了全部常用中英文字词句的读音、释义及用法,是语言学习和写作的有利工具。

 

Copyright © 2004-2024 vtrois.com All Rights Reserved
更新时间:2026/4/8 10:22:23