网站首页  词典首页


请输入您要查询的字词:

 

字词 汞香豆林钠
类别 中英文字词句释义及详细解析
释义 汞香豆林钠

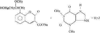
C21H21HgN4NaO8·H2O=699.01

CAS-60135-06-0

CAS-574-79-8(replaced)

CAS-43043-01-2(mercumatilin)

8-[3-(羟汞基)-2-甲氧丙基]-2-氧代-2H-1-苯并吡喃-3-羧酸与茶碱的钠盐。

Mixture of sodium salt of 8-[3-(hydroxymercuri)-2-methoxypropyl]-2-oxo-2H-1-benzopyran-3-carboxylic acid and theophylline.

利尿药。

Mercumatilin Sodium.

INN,USAN,MI.

随便看

 

离鸟网收录3541549条中英文词条,其功能与新华字典、现代汉语词典、牛津高阶英汉词典等各类中英文词典类似,基本涵盖了全部常用中英文字词句的读音、释义及用法,是语言学习和写作的有利工具。

 

Copyright © 2004-2024 vtrois.com All Rights Reserved
更新时间:2026/4/7 22:39:09