网站首页  词典首页


请输入您要查询的字词:

 

字词 沃尔特模式
类别 中英文字词句释义及详细解析
释义 沃尔特模式

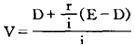
沃尔特提出的反映公司股息政策对股票内在价值的影响的股票定价模式。其基本公式为:

式中,V表示股票投资价值;D表示每股股息;E表示每股税后利润;r表示再投资利润率;i表示折现率。

沃尔特模式有如下结论:当r=i时,股票价值与股息政策无关;当r>i时,红利额越低V就越高;当r<i时,红利额越高V就越高。

随便看

 

离鸟网收录3541549条中英文词条,其功能与新华字典、现代汉语词典、牛津高阶英汉词典等各类中英文词典类似,基本涵盖了全部常用中英文字词句的读音、释义及用法,是语言学习和写作的有利工具。

 

Copyright © 2004-2024 vtrois.com All Rights Reserved
更新时间:2026/5/25 20:17:20