网站首页  词典首页


请输入您要查询的字词:

 

字词 沃尔特模式和戈登模式
类别 中英文字词句释义及详细解析
释义 沃尔特模式和戈登模式

在证券分析学的发展中,美国的J.E·沃尔特和M.J·戈登两人各自提出的股票投资价值公式具有重要重要的影响,分别被称为沃尔特模式和戈登模式。

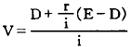
沃尔特的股票投资价值公式为:

式中,V为股票投资价值;D为每股的股息;E为每股税后的纯利润;r为再投资利润率;i为评价利率。

沃尔特的这一模式是利润、分红的定额成长模式,也是一种企业发展模式。模式的特点表现在公式的建立包含了如下几个假设:
❶ 资本结构中不包含他人资本,不进行对外金融;
❷ r是固定的(不受市场波动、结构变化等的影响);
❸ i也是固定的;
❹ 内部保留额固定,即Et-Dt=E1-D1(t=2、3、4……)。实际上,沃尔特的公式是把根据上述假设推导出来的股息流程,代入威廉斯公式()得出来的。

沃尔特模式由于最终的算式只包含著E、D、r、i四个因素,因而是个极其实用的模式,在实际业务上也能充分地使用。例如当r=i时,公式转换成:。这个转换后的公式表明,只要再投资利润率等于评价利润率,股票投资价值额与股息政策无关,即等于利润额的资本还原值。同样,根据沃尔特模式可以看出,要是r>i时,红利额越低V就越高;要是r<i时,就会产生相反的结果。

戈登的股票投资价值公式为:

这里,,即本期中的利润内部保留率,其他符号含义与沃尔特公式相同。戈登的这一公式,是将沃尔特公式所设立的4项假设中第4项的内部保留额固定的内容加以更改。设内部保留率固定,即的假设,通过把这项假设所导出的红利流程代入威廉斯公式而推导出来的,但是,在这里是假定i>rb>0的。如果i≤rb时,投资价值V将成为无限大。

随便看

 

离鸟网收录3541549条中英文词条,其功能与新华字典、现代汉语词典、牛津高阶英汉词典等各类中英文词典类似,基本涵盖了全部常用中英文字词句的读音、释义及用法,是语言学习和写作的有利工具。

 

Copyright © 2004-2024 vtrois.com All Rights Reserved
更新时间:2026/5/25 16:54:55