网站首页  词典首页


请输入您要查询的字词:

 

字词 沉淀池中污泥的体积计算
类别 中英文字词句释义及详细解析
释义 沉淀池中污泥的体积计算

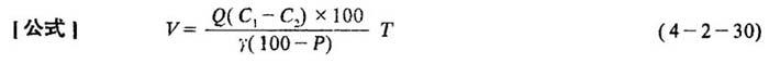
式中 V——污泥的体积(m3)

Q——每日废水量(m3/d)

C1——进水悬浮物浓度(kg/m3)

C2——出水悬浮物浓度(kg/m3)

P——污泥的湿度(当污泥的相对密度大于1时)或含水率(当污泥相对密度接近于1时)(%)

γ——污泥的容重(kg/m3),当污泥主要为有机物,而且含水率很大时,其容重接近1000kg/m3

T——二次排泥的时间间隔(d)

随便看

 

离鸟网收录3541549条中英文词条,其功能与新华字典、现代汉语词典、牛津高阶英汉词典等各类中英文词典类似,基本涵盖了全部常用中英文字词句的读音、释义及用法,是语言学习和写作的有利工具。

 

Copyright © 2004-2024 vtrois.com All Rights Reserved
更新时间:2026/4/6 20:14:16