网站首页  词典首页


请输入您要查询的字词:

 

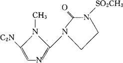
字词 沙曲硝唑
类别 中英文字词句释义及详细解析
释义 沙曲硝唑

C8H11N5O5S=289.27

CAS-56302-13-7

1-(1-甲基-5-硝基咪唑-2-基)-3-(甲磺酰)-2-咪唑烷酮。

1-(1-Methyl-5-nitroimidazol-2-yl)-3-(methylsulfonyl)-2-imidazolidinone.

抗原虫药和抗阿米巴药。

Satranidazole,C 10213-Go,Go 10213.

INN,USAN.

随便看

 

离鸟网收录3541549条中英文词条,其功能与新华字典、现代汉语词典、牛津高阶英汉词典等各类中英文词典类似,基本涵盖了全部常用中英文字词句的读音、释义及用法,是语言学习和写作的有利工具。

 

Copyright © 2004-2024 vtrois.com All Rights Reserved
更新时间:2026/4/7 5:28:18