网站首页  词典首页


请输入您要查询的字词:

 

字词 沙更地平
类别 中英文字词句释义及详细解析
释义 沙更地平

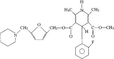
C27H31FN2O5=482.56

CAS-126294-30-2

4-(邻-氟苯基)-1,4-二氢-2,6-二甲基-3,5-吡啶羧酸甲基(5-哌啶基甲)糠酯。

Methyl(5-piperidinomethyl)furfuryl4-(o-fluorophenyl)-1,4-dihydro-2,6-dimethyl-3,5-pyridinedcarboxylate.

血管扩张药。

Sagandipin.

INN,USAN.

随便看

 

离鸟网收录3541549条中英文词条,其功能与新华字典、现代汉语词典、牛津高阶英汉词典等各类中英文词典类似,基本涵盖了全部常用中英文字词句的读音、释义及用法,是语言学习和写作的有利工具。

 

Copyright © 2004-2024 vtrois.com All Rights Reserved
更新时间:2026/5/30 18:23:17